Λίγο πριν αφήσουμε οριστικά πίσω τις ημέρες του Απριλίου θα αναφερθούμε σε ένα θέμα που εμφανίσθηκε λίγο πριν το Πάσχα και απέδειξε για άλλη μια φορά πως ο αδίστακτος πολιτικός μπορεί να βλέπει και τα Μαθηματικά ως ένα κατά παραγγελία εργαλείο εξυπηρέτησης των σκοπών του. Αδιαφορώντας για οποιουσδήποτε κανόνες και χειρισμούς σχετικούς με αυτή την επιστήμη.
Ο πολιτικός είναι ο Ντόναλντ Τραμπ. Το εργαλείο ο περίφημος τύπος υπολογισμού των επιπλέον δασμών σε προϊόντα εισαγωγής στις Ηνωμένες Πολιτείες από άλλες χώρες. Τον έχουμε μάθει απ’ έξω πλέον:

Δεν χρειάζεται να μας πιάνει ναυτία κάθε φορά που ένας μαθηματικός τύπος μπαίνει στην ζωή μας. Δεν είναι το κεφάλι της Μέδουσας που θα μαρμαρώσομε αν το αντικρύσουμε κατ’ ευθείαν. Μπορούμε σπυρί-σπυρί να τον προσεγγίσουμε και να τον αποκωδικοποιήσουμε. Και στην συγκεκριμένη περίπτωση να κατανοήσουμε πόσο παράλογα αυθαίρετη μπορεί να γίνει η χρήση του.
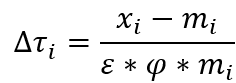
Δεν μας διαφεύγει ότι από τους οκτώ διαφορετικούς χαρακτήρες που εμφανίζονται οι τέσσερις είναι από το ελληνικό αλφάβητο, χωρίς αυτό να προσθέτει ή να αφαιρεί κάτι από την όποια αξιοπιστία του. Αρχίζοντας από αριστερά, αυτό το Δτi με το ελληνικό δέλτα κεφαλαίο να ανοίγει τον χορό, μας «λέει» ότι πρόκειται για Διαφορά. Και αυτό έχει σημασία. Το Δτi συμβολίζει τον επιπλέον δασμό που θα πρέπει κατά τον Τραμπ να επιβληθεί στα προϊόντα της χώρας i . Προσοχή το Δτiείναι δασμός μετά από (ήδη υπάρχοντα) δασμό. Γι’ αυτό και το Δ. Στον αριθμητή η διαφορά (xi – mi ) είναι σε χρήματα η διαφορά της αξίας (εξαγωγών-εισαγωγών) των Η.Π.Α. με την χώρα i. Στον παρονομαστή είναι πάλι οι εισαγωγές mi και δυο (δυσνόητοι)συντελεστές που γι’ αυτούς έγινε η πιο πολλή φασαρία.
ε: είναι η «ελαστικότητα των εισαγωγών σε σχέση με τις τιμές εισαγωγής», βασικά δείχνει το πώς αλλάζει η ζήτηση για εισαγωγές με βάση την μεταβολή της τιμής. Για τους σκοπούς του υπολογισμού των τιμολογίων αυτό το νούμερο ορίστηκε στο 4
φ: είναι η “μεταβίβαση από τους δασμούς στις τιμές εισαγωγής” ή “ελαστικότητα(άνοδος ή στασιμότητα) των τιμών εισαγωγής σε σχέση με τους δασμούς”. Ουσιαστικά δείχνει πόσο από ένα δασμό (βασικά, έναν φόρο) κάποιο ποσοστό μετακυλίεται πραγματικά στον καταναλωτή. Διότι ο κατασκευαστής έχει την επιλογή να μην μετακυλίσει την πλήρη αύξηση της τιμής στον καταναλωτή, επιλέγοντας ίσως να μειώσει το περιθώριο κέρδους του. Για τον υπολογισμό των τιμολογίων ο αριθμός αυτός από την Trump Administration ορίστηκε αυθαίρετα σε 0,25 βασίζοντας την ελαστικότητα στην ανταπόκριση στους δασμούς των (πολυπαραγοντικών)τιμών λιανικής9αντί για τις τιμές χονδρικής), σε αντίθεση με τις τιμές εισαγωγής όπως θα έπρεπε να είχαν κάνει διότι στις τιμές χονδρικής, πριν από κάθε άλλη επέμβαση, «πέφτει επάνω τους» όλη η αύξηση στον φόρο. Γι’ αυτό οι οικονομολόγοι επιμένουν πως το φ θα έπρεπε να είναι κοντά στο 1(0,945 για την ακρίβεια). Εδώ έχουμε την μια από τις δυο τεράστιες αυθαιρεσίες. Όντας στον παρονομαστή το 0,25 αντί του 0,945 ανεβάζει τον δασμό κατά 4 φορές παραπάνω.
Η άλλη αυθαιρεσία είναι πως όταν στον μαθηματικό τύπο οι Η.Π.Α. έχουν θετικό ισοζύγιο με μιαν άλλη χώρα(πουλούν περισσότερα από ό,τι αγοράζουν) ενώ δεν θα έπρεπε να επιβληθεί επιπλέον φόρος τα «Μαθηματικά» του Τραμπ λένε βάλε και σε αυτούς 10%!
Η αλήθεια είναι πως από το αποτέλεσμα για τον τελικό (λανθασμένο)δασμό έκοβαν το 50%(όχι όμως από το 10%) αλλά και πάλι ό,τι απέμενε ήταν διασυρμός των Μαθηματικών. Όλοι δηλαδή οι πίνακες που έδειξαν ήτα λάθος και το είπε και ο άνθρωπος που επινόησε(για άλλους λόγους) τον παραπάνω τύπο, ότι διαστρέβλωσαν πλήρως τα Μαθηματικά του. Και αυτοί που βρήκαν πρώτοι το λάθος είπαν πως οι άνθρωποι της κυβέρνησης θα πρέπει να μάθουν να κάνουν καλύτερα τις πράξεις…
Ωχ…, προβλήματα
1. Χωρίς την χρήση υπολογιστικής μηχανής ζητείται η απάντηση στο εξής: Ποιος αριθμός είναι μεγαλύτερος, το γινόμενο 1x2x3x4x5x6x7x8x9x10( δηλαδή το 10!) ή μήπως ο αριθμός των δευτερολέπτων σε 6 ολόκληρες εβδομάδες;
2. Το παρακάτω είναι ένα εξαιρετικό πρόβλημα λογικής!
Ο βασιλιάς των αραχνών έχει τέσσερις ακολούθους που έχουν 6 ή 7 ή 8 πόδια. Όποιος έχει 7 πόδια λέει πάντα ψέματα. Όποιος έχει 6 ή 8 πόδια λέει πάντα αλήθεια. Κάθονται απέναντι στον βασιλιά έτσι ώστε δεν μπορεί να διακρίνει και να μετρήσει τα πόδια τους. Γι’ αυτό τους ρωτάει: Πόσα πόδια έχετε εσείς οι τέσσερις; Και παίρνει τέσσερις διαφορετικές απαντήσεις: 25, 26, 27 και 28. Ποιά είναι η σωστή απάντηση;
3. Το επόμενο πρόβλημα τέθηκε σε βρετανούς μαθητές στην διάρκεια Ολυμπιάδας: Να βρεθεί ο εξαψήφιος αριθμός που πληροί τους εξής δυο όρους:
Α) Είναι τέλειο τετράγωνο και
Β) Οι τρεις τελευταίοι όροι του μαζί, δηλαδή ως τριψήφιος, είναι κατά μια μονάδα μεγαλύτεροι από τους τρεις πρώτους(για παράδειγμα ως προς το Β): ένας τέτοιος θα μπορούσε να είναι π.χ. ο 123124 αν και δεν είναι βέβαια τέλειο τετράγωνο). Επίσης κάτι που δεν έδωσαν στους δυστυχείς διαγωνιζόμενους είναι πως ο αριθμός 1001 = 7x11x13 (κάπου θα χρειαστεί).
Ευτυχώς εδώ είναι και οι λύσεις
1. Απάντηση
Δεν χρειάζεται να ασχοληθούμε καν με τον υπολογισμό του 10! Για τα δευτερόλεπτα των 6 εβδομάδων έχουμε: 6x7x24x60x60 = 6x7x(3×8)x(5×12)x(5×12)= =6x7x(3×8)x(5x4x3)x(5x2x3x2x1) = 6x7x(3×8)x(5x4x3)x(10x3x2x1) = 6x7x8)x(5x4x32)x(10x3x2x1) = 6x7x8)x(5x4x9)x(10x3x2x1)= 1x2x3x4x5x6x7x8x9x10
2. Απάντηση
Αν όλες οι αράχνες έλεγαν την αλήθεια τότε θα είχε πάρει ο βασιλιάς μόνον μια απάντηση. Άρα υπάρχουν μέσα στους τέσσερις και ψεύτες. Θα μπορούσαν να είναι και οι 4 ψεύτες; Όχι διότι τότε θα ξέραμε ότι τα πόδια τους είναι συνολικά 4×7=28. Άρα έχουμε ψεύτες και φιλαλήθεις μαζί. Μένει να προσδιορίσουμε το «μίγμα». Αν ήταν 2 που λένε αλήθεια θα είχαμε τουλάχιστον δυο ίδιες απαντήσεις αφού οι φιλαλήθεις θα συμφωνούσαν μεταξύ τους. Άρα τρεις λένε ψέματα και μια αλήθεια. Οι τρεις που λένε ψέματα έχουν 3×9=27 πόδια. Αυτή που λέει αλήθεια έχει 6 ή 8 πόδια; Αν είχε 8 πόδια θα είχε πει ότι συνολικά τ απόδια είναι 21+8=29. Αλλά τέτοια απάντηση δεν υπάρχει. Άρα είχε 6 πόδια και συνολικά υπάρχουν 21+6=27 πόδια. 1 με 6 πόδια που λέει αλήθεια και 3 με 7 πόδια που λένεψέματα.
3.Απάντηση
Ξεκινούμε από την γενική μορφή του εξαψήφιου αριθμού που ζητούμε: δ1δ2δ3δ1δ2(δ3+1) και αυτός θα πρέπει να είναι και τέλειο τετράγωνο δηλαδή ίσος με κάποιον της μορφής ν2. Μια πρώτη τακτοποίηση(=απλοποίηση-διαμόρφωση) του προβλήματος είναι να συμβολίσουμε το σύμπλεγμα δ1δ2δ3 με χ οπότε ο δ1δ2δ3δ1δ2(δ3+1) μπορεί να γραφτεί ως (1000χ + χ +1)= (1001χ +1)= ν2 . Η τελευταία ισότητα γίνεται: 1001χ=(ν+1)(ν-1) σπάμε τον χ στην μορφή χ=αβ και με 1001 = 7x11x13 έχουμε τελικά: (ν+1)(ν-1)= 7x11x13αβ
Ο ν2 θα είναι μεταξύ 100 000 και 999 999 άρα ο ν μεταξύ 316 και 1000 και το ίδιο και οι (ν+1) και (ν-1). Στο επόμενο βήμα γράφουμε: (ν+1)(ν-1)= (7α)x(11×13β) και δοκιμαστικά θέτουμε: (ν-1)=7α και (ν+1)=143β (διότι 11 επί 13 = 143). Με τους α κα β να είναι υποχρεωτικά στα εξής όρια: 1<= α <=192 και 1<= β <=7 για να είναι ο ν μεταξύ 316 και 1000. Επειδή όμως (ν+1)-(ν-1)= 2 θα πάρουμε ότι 143β-7α=2.
Από εδώ και πέρα είναι σκέτη…μαγεία: Επειδή 143=7×20+3 –>3=143-7×20.
7= 3×2+1 –>1 = 7- 2×3 = 7 – 2x(143-7×20) –> 143(-2) + 7(41) = 1. Λόγω της (143β-7α=2) πολλαπλασιάζουμε επί 2: 143(-4) +7(82) = 2.
Η επόμενη μαγεία είναι να προσθέσουμε και να αφαιρέσουμε τον όρο (143×7τ) για να καταλήξουμε στην 143(7τ-4) -7(143τ-82) = 2.
Αν την συγκρίνουμε με την 143β-7α=2 θα πρέπει α= (143τ-82) και β=(7τ-4). Για τ=1 προκύπτει ότι α= 61 και β= 3. Άρα χ= αβ = 3×61 = 183 άρα ένας τέτοιος ζητούμενος εξαψήφιος θα είναι o 183184. Μπορούμε να δοκιμάσουμε και για άλλες τιμές του τ.
Μπορείτε να στείλετε τις απορίες, τις λύσεις και τις επισημάνσεις σας στον Άλκη Γαλδαδά στην διεύθυνση algaldadas@yahoo.gr.






