Για την καλύτερη προετοιμασία των υποψηφίων ενόψει των πανελλαδικών εξετάσεων το vima.gr παρουσιάζει προτεινόμενα θέματα για τα υπό εξέταση μαθήματα.
Παρακάτω μπορείτε να δείτε προτεινόμενο θέμα Πανελληνίων εξετάσεων για τα μαθηματικά
Α1. Να αποδείξετε ότι η συνάρτησηf(x)=xα με α R-Z , είναι παραγωγίσιμη στο ![]()
Α2. Να χαρακτηρίσετε καθέναν από τους παρακάτω ισχυρισμούς με σωστό η λάθος και να αιτιολογήσετε την απάντηση σας
i. «Αν μια συνάρτηση δεν έχει ρίζες στο πεδίο ορισμού της, τότε διατηρεί σταθερό πρόσημο». (3μ)
ii. Οι γραφικές παραστάσεις C και C΄ των συναρτήσεων f και f-1 είναι συμμετρικές ως προς την ευθεία y = x που διχοτομεί τις γωνίες xOy και x΄Oy΄. (3μ)
Α3. Έστω μια συνάρτηση f ορισμένη σε διάστημα Δ. Ποια σημεία του Δ λέγονται κρίσιμα σημεία της f; (3μ)
Α4. Να χαρακτηρίσετε τις προτάσεις που ακολουθούν, γράφοντας στην κόλλα σας δίπλα στο γράμμα που αντιστοιχεί σε κάθε πρόταση, τη λέξη Σωστό ή Λάθος,
i) Αν η διατηρεί σταθερό πρόσημο στο διάστημα [α, β], τότε η f δεν παρουσιάζει ακρότατα.
ii) Μια συνεχής συνάρτηση f διατηρεί πρόσημο σε καθένα από τα διαστήματα στα οποία οι ρίζες της f χωρίζουν το πεδίο ορισμού της.
iii) Μια συνάρτηση f λέμε ότι είναι παραγωγίσιμη σε ένα σημείο του πεδίου ορισμού της, όταν υπάρχει το


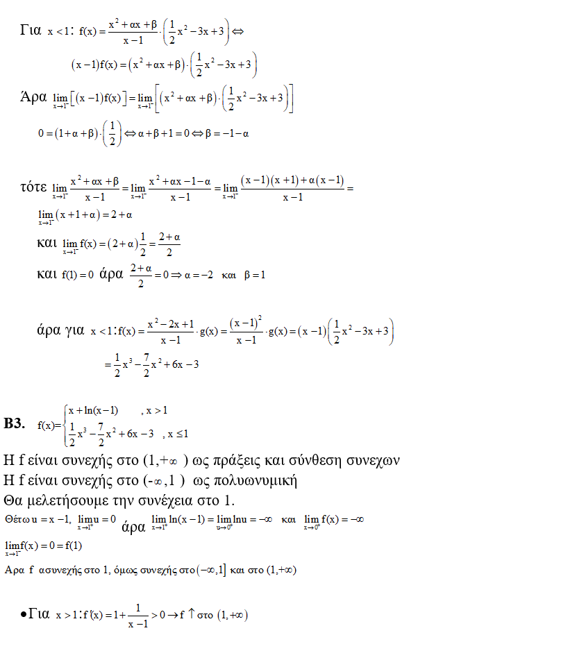
Θέμα Β

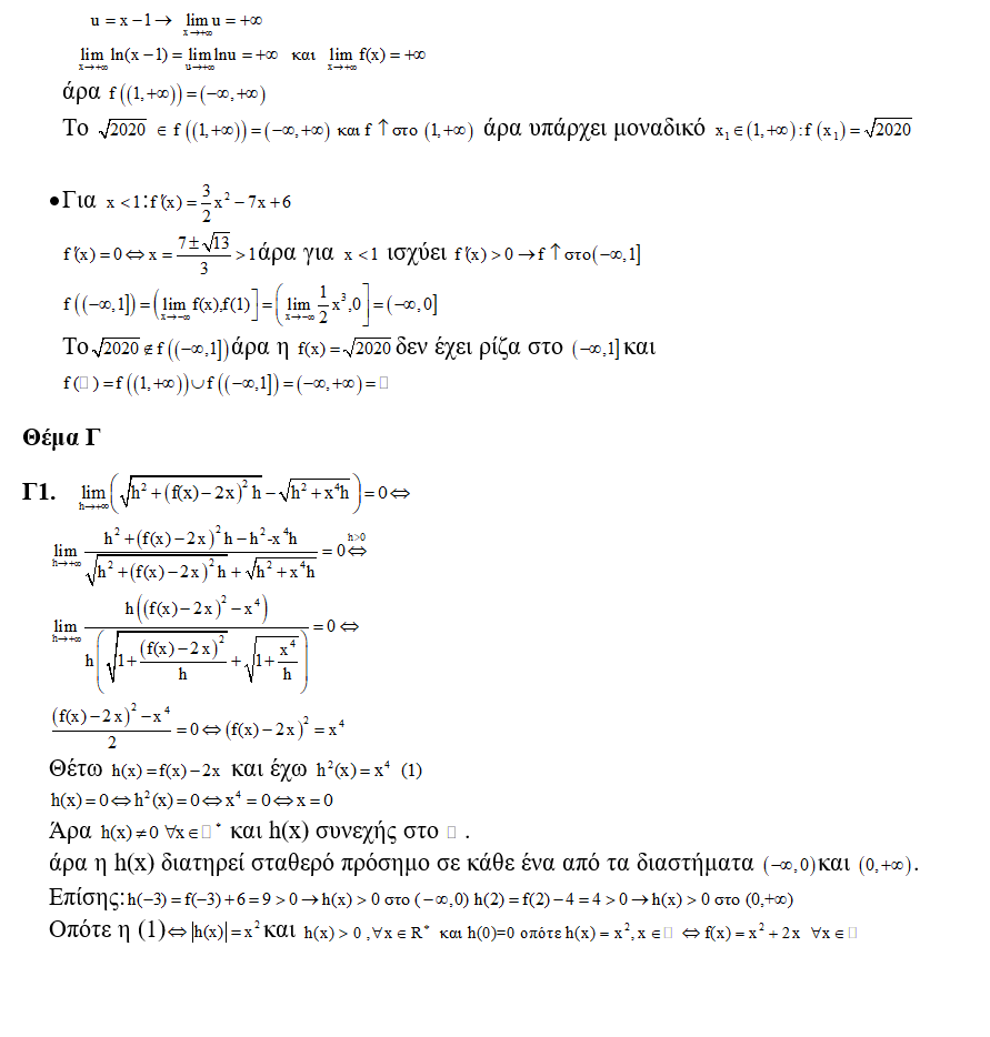
Θέμα Δ








Σε συνεργασία με το Φροντιστήριο Ορόσημο στον Πειραιά
